029 608 22 22
029 508 22 22
029 608 22 22
029 508 22 22
Пожаловаться на акцию
- Получить промокод можно до 16.08, воспользоваться до 01.10.16
- Предварительная бронь обязательна.
- Промокод дает право на скидку 50% на туруслугу и скидку на тур в Крым.
- Стоимсоть указана за размещение в пансионате "У Елены" (частная квартира), варианты другого размещения и стоимость уточняйте по телефонам.
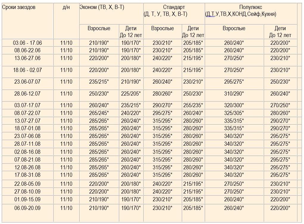
- Стоимость туруслуги:
- для взрослого:
от 280 000 руб. вместо 560 000 руб (28 руб вместо 56 руб).
- для ребенка:
от 240 000 руб. вместо 480 000 руб (24 руб вместо 48 руб).
- Даты тура:
июль - сентябрь 2016 г.
- Продолжительность тура:
до 14 дней.
- Описание тура смотрите ниже или здесь.
- Один промокод - тур для одного человека со скидкой.
- *Скидка на промокоды до 30% при пополнении баланса
- *Промокоды от 39 коп. по подписке
* - Цена может меняться. Оплата производится в бел.0 руб. ( руб.). по курсу НБ РБ на день оплаты.
- Проезд автобусо в Крым осуществляется по территории Беларусии и России через паромную переправу. Билет на паром в стоимость тура не входит.
- Все акции компании здесь.
Крым: Судак, Феодосия, Береговое, Коктебель
СудакВариант 1: Пансионат "У Жени" |
Расположение: напротив Генуэзской крепости, в 300 м от центра Судака.
Размещение: 3-х этажный стационарный корпус,- 2-3-местные номера, удобства (Т, Д, У) на 3 комнаты на этаже; в каждом номере - необходимый набор мебели.
![]() |
Пляж: городской, песчано-галечный в 750-800 м.
Иинфраструктура: зеленая благоустроенная территория, 2 летних беседки с мангалом; на 1-м этаже благоустроенная кухня (имеются холодильники),необходимый набор посуды, в холле - ТВ Двор асфальтирован, выращен прекрасный сад, виноградник, пруд с золотыми рыбками.
Даты:
* Стоимость уточняйте по телефонам.
![]() |
В стоимость включено:
- проезд автобусом евро класса
- проживание
- сопровождение гида.
Дополнительно оплачивается:
- медстраховка
- туруслуга:
- для взрослого:
300 000 руб. вместо 600 000 руб (30 руб вместо 60 руб).
- для ребенка:
250 000 руб. вместо 500 000 руб (25 руб вместо 50 руб).
- паром.
Вариант 2: Пансионат "Валерия" |
Расположение: вдали от шумной дороги, практически в центре города. 15 мин. спокойной ходьбы до моря, до Кипарисовой аллеи - 10 мин., рынка - 10 мин. За пансионатом находится дельфинарий, аквапарк, супермаркет, оптовая база, овощной магазин.
Размещение: 2-3-хместные номера от эконом до люкса.
Холодная и горячая вода - постоянно. Имеется просторный двор, в центре которого - бассейн. Есть мангал, барбекю. Детская площадка. Декоративный водопад. Теннисные и бильярдные столы, интернеткафе, wi- fi.
![]() |
Пляж: городской, песчаный.
Питание: на территории пансионата есть кухня и столовая со всем необходимым для самостоятельного приготовления пищи, а также есть возможность 3-хразового питания в кафе пансионата (недорого).
Даты:
* Стоимость уточняйте по телефонам.
![]() |
В стоимость включено:
- проезд автобусом евро класса
- проживание
- сопровождение гида.
Дополнительно оплачивается:
- медстраховка
- туруслуга:
- для взрослого:
300 000 руб. вместо 600 000 руб (30 руб вместо 60 руб).
- для ребенка:
250 000 руб. вместо 500 000 руб (25 руб вместо 50 руб).
- паром.
ФеодосияВариант 1: гостиница "Крым" |
Расположение: в старой части города, в 20 мин. Ходьбы от городского пляж , 20 мин. ходьбы до центральной набережной, музея И. Айвазовского, сети сувенирных магазинов (рядом продуктовый магазин). В гостинице есть кафе, где можно завтракать, обедать и ужинать (за доп. плату).
Размещение: Номера 1-местные и 2-хместные с удобствами в номере (Д,Т,У,ТВ,Х,Конд).
![]() |
Даты:
* Стоимость уточняйте по телефонам.
![]() |
В стоимость включено:
- проезд автобусом евро класса
- проживание
- сопровождение гида.
Дополнительно оплачивается:
- медстраховка
- туруслуга:
- для взрослого:
300 000 руб. вместо 600 000 руб (30 руб вместо 60 руб).
- для ребенка:
250 000 руб. вместо 500 000 руб (25 руб вместо 50 руб).
- паром.
Вариант 2: Общежитие гостинечного типа от б/о "Динамо" |
Расположение: На самом берегу моря. Рядом б/о Динамо, где кафе, столовая и вечером - дискотека. Рядом великолепный пляж и в 5 мин.ходьбы - ул.Федько - центральная улица города. 15 мин. ходьбы до большого Крымского рынка.10 мин. - до бульвара Старшинова, где расположена сеть промтоварных и продуктовых магазинов и супермаркетов.
Размещение:1-2-хместные отдельные номера с необходимой мебелью (кровати, шкаф, стол, стулья). В номере есть умывальник. На этаже - душ и туалеты. Само здание - четырехэтажное, построенное в советское время. (в конце 80-х годов).
![]() |
Даты:
* Стоимость уточняйте по телефонам.
![]() |
В стоимость включено:
- проезд автобусом евро класса
- проживание
- сопровождение гида.
Дополнительно оплачивается:
- медстраховка
- туруслуга:
- для взрослого:
300 000 руб. вместо 600 000 руб (30 руб вместо 60 руб).
- для ребенка:
250 000 руб. вместо 500 000 руб (25 руб вместо 50 руб).
- паром.
Вариант 3: Частный пансионат "У Елены" |
Расположение: в дали от шумной трассы, но в 10 мин. ходьбы до пляжа "Жемчужина", 10 мин. ходьбы до Крымского рынка, 10 мин. до Комсомольского парка и набережной.
Размещение: 2-3хместные номера с удобствами (душ,туалет,умывальник,ТВ,кондц,вент.). Большой ухоженный двор. Кухня, большие ячейки шкафа для продуктов (во дворе), холодильник в кухне.
![]() |
Даты:
* Стоимость уточняйте по телефонам.
![]() |
В стоимость включено:
- проезд автобусом евро класса
- проживание
- сопровождение гида.
Дополнительно оплачивается:
- медстраховка
- туруслуга:
- для взрослого:
300 000 руб. вместо 600 000 руб (30 руб вместо 60 руб).
- для ребенка:
250 000 руб. вместо 500 000 руб (25 руб вместо 50 руб).
- паром.
Вариант 4: Частная квартира |
Расположение: в центральной части г. Феодосия, в 3 минутах ходьбы от Крымского рынка,10-12 минутах ходьбы от песчаного пляжа на 2-ом этаже 5-тиэтажного дома.
Размещение: Отдельная однокомнатная квартира с кухней, ванной, туалетом. Есть застекленный балкон.
Водоснабжение: горячая и холодная вода постоянно.
Пляж: городской, песчаный.
Расположена около большого парка. Рядом множество магазинов (продовольственных и промтоварных). До центральной набережной - 15 мин ходьбы. Рядом(1 остановка на общ. трансп.) находится железнодорожный и автовокзалы.
Даты:
* Стоимость уточняйте по телефонам.
![]() |
В стоимость включено:
- проезд автобусом евро класса
- проживание
- сопровождение гида.
Дополнительно оплачивается:
- медстраховка
- туруслуга:
- для взрослого:
300 000 руб. вместо 600 000 руб (30 руб вместо 60 руб).
- для ребенка:
250 000 руб. вместо 500 000 руб (25 руб вместо 50 руб).
- паром.
Крым: поселок "Береговое"Вариант 1: Вилла "МИ-АН-СО" |
Расположение: в 150 м от песчаного пляжа, 3-хэтажное, очень красивое здание в стиле ампир. У входа вас встречают скульптурные львы. Территория ухожена и засажена цветами. На территории есть спорт.площадка, сауна, бильярд. качели для детей, беседки. Горячая и холодная вода - постоянно.
Размещение: 2-3хместные номера с (Т,Д,У,ТВ,вент).
Питание: 3-х разовое в кафе пансионата. Готовят очень вкусно, большие порции.
![]() |
Даты:
* Стоимость уточняйте по телефонам.
![]() |
В стоимость включено:
- проезд автобусом евро класса
- проживание
- сопровождение гида.
Дополнительно оплачивается:
- медстраховка
- туруслуга:
- для взрослого:
300 000 руб. вместо 600 000 руб (30 руб вместо 60 руб).
- для ребенка:
250 000 руб. вместо 500 000 руб (25 руб вместо 50 руб).
- паром.
Вариант 2: база отдыха "Волна" пос. Береговое |
Расположение: база находится в 30 м. от берега моря. База благоустроена, утопает в зелени и цветах, есть детская площадка. Идеальная для отдыха с детьми.
Размещение: 2-хместные номера с удобствами (Д,Т,У,Х,Конд).
![]() |
Даты:
* Стоимость уточняйте по телефонам.
![]() |
В стоимость включено:
- проезд автобусом евро класса
- проживание
- сопровождение гида.
Дополнительно оплачивается:
- медстраховка
- туруслуга:
- для взрослого:
280 000 руб. вместо 560 000 руб (28 руб вместо 56 руб).
- для ребенка:
240 000 руб. вместо 440 000 руб (24 руб вместо 44 руб).
- паром.
КоктебельЧастный пансионат "У Елены" |
Расположение: в центральной части поселка, в 350 м. от моря, на тихой, спокойной улице, рядом с коттеджем скульптора Цигаля. 3-хэтажный коттедж с тренажерным залом, 15 мин ходьбы до автовокзала и рынка.
Размещение: 2-3хместные номера со всеми удобствами. Просторные светлые комнаты. На 1-ом этаже есть мини-кухня.
Даты:
* Стоимость уточняйте по телефонам.
![]() |
В стоимость включено:
- проезд автобусом евро класса
- проживание
- сопровождение гида.
Дополнительно оплачивается:
- медстраховка
- туруслуга:
- для взрослого:
300 000 руб. вместо 600 000 руб (30 руб вместо 60 руб).
- для ребенка:
250 000 руб. вместо 500 000 руб (25 руб вместо 50 руб).
- паром.
Вариант 1: Проезд в КРЫМ на 11 дней/10 ночей отдыха:«Минск-Гомель-Порт Кавказ-Феодосия-Коктебель-Судак-Минск»
|
Программа тура:
1-2 день: отправление из Минска в 17-00 (д/с Дружная). Транзит по территории РБ и РФ.
3-13 день: Прибытие на курорт ориентировочно в 10.00-12.00. Размещение на отдых.
(11 дней/ 10 ночей). На 13 день отправление вечером. Транзит по территории РФ.
14-15 день: Транзит по территории РФ и РБ. Прибытие в Минск во второй половине дня.
Вариант 2: Проезд в КРЫМ на 15 дней/14 ночей отдыха:«Минск-Гомель-Порт Кавказ-Феодосия-Коктебель-Судак-Минск»
|
Программа тура:
1-2 день: Отправление из Минска в 17-00 (Д/С Дружная). Транзит по территории РБ и РФ.
3-17 день: Прибытие на курорт. Размещение на отдых (15 дней/ 14 ночей). На 17й день вечером отправление в Минск.
17-19 день: Транзит по территории РФ и РБ. На 19й день прибытие в Минск во второй половине дня.

Туристическое агентство "Ра-мари"
Адрес:
г. Минск
ул. Кульман, 1, оф. 34А
Телефоны:
(029) 691-97-11
(029) 381-73-50
(029) 768-24-86
(017) 292-67-12
Время работы:
пн-пт: 10:00-19:00
Сайт: ra-mari.by
ИП Падневич М. В.
УНП 192027832
Мы всегда рады помочь: служба поддержки Slivki.by ответит на любой ваш вопрос











Введите код из письма
Создайте новый пароль
Используйте не менее 8 символов: латинские буквы, как минимум 1 заглавную букву, 1 строчную букву, 1 цифру и 1 специальный символ (!@#&-). Например: Gn111-999
Пароль отправлен на ваш электронный ящик
Поделиться с другом:
Статистика
Рейтинг акции
Глобальный
на сайте
В категории
В субкатегории
Оценки
Продажи всего
за сутки
за 30 дней
Продажи онлайн
за сутки
за 30 дней
Продажи по звонку
за сутки
за 30 дней
Просмотры
за сутки
за 30 дней
Актуальность продаж
за неделю
за 30 дней
Привяжите почту и объедините свои
аккаунты в один
Куки (англ. cookies) являются текстовым файлом, сохраненным в браузере компьютера (мобильного устройства) посетителей и пользователей платформы ЗАО «СЛИВКИ БАЙ» Slivki.by (далее – сайт) при его посещении для отражения совершенных действий.
Целью обработки куки является обеспечение удобства посетителей сайта и повышение качества его функционирования.
Файлы сookie могут собираться, систематизироваться, храниться, изменяться, использоваться, обезличиваться, блокироваться, удаляться с использованием средств автоматизации.
Cookie могут быть постоянными или временными. Постоянные cookie сохраняются на компьютере до тех пор, пока пользователь их не удалит (ЗАО «СЛИВКИ БАЙ» хранит их не более года). Временные действуют до тех пор, пока пользователь (посетитель) сайта не закроет браузер.
ЗАО «СЛИВКИ БАЙ» не использует куки для идентификации субъектов персональных данных.
Обработка аналитических и рекламных куки осуществляется уполномоченными лицами ЗАО «СЛИВКИ БАЙ»:
Яндекс Метрика – сервис веб-аналитики, предоставляемый ООО «Яндекс». Адрес: г. Москва, ул. Льва Толстого, д. 16, 119021. Политика конфиденциальности Яндекс – https://yandex.ru/legal/confidential/
Google Analytics – сервис веб-аналитики, предоставляемый компанией Google, Inc. Адрес: Google, Google Data Protection Office, 1600 Amphitheatre Pkwy, Mountain View, CA 94043, USA. Политика конфиденциальности Google – https://policies.google.com/privacy?hl=ru#infocollect.
Facebook Pixel – сервис ретаргетинга, предоставляемый компанией Meta Platforms, Inc. Адрес: 1 Hacker Way, Menlo Park, CA 94025, USA. Политика конфиденциальности Facebook – https://www.facebook.com/privacy/policy/.
TikTok Pixel – сервис аналитики, предоставляемый компанией TikTok Inc. Адрес: 5800 Bristol Parkway, Suite 100, Culver City, CA 90230, USA. Политика конфиденциальности TikTok – https://www.tiktok.com/legal/privacy-policy.
Трансграничная передача куки осуществляется при предоставлении посетителем сайта согласия на обработку куки следующему субъекту.
Обращаем внимание, что обработка куки осуществляется Google Analytics, Facebook Pixel, TikTok Pixel, зарегистрированными в США, которая не входит в перечень иностранных государств, являющихся сторонами Конвенции Совета Европы о защите физических лиц при автоматизированной обработке персональных данных, принятой в г. Страсбурге 28.01.1981 (далее – Конвенция) (приказ директора Национального центра защиты персональных данных Республики Беларусь от 15 ноября 2021 г. № 14 «О трансграничной передаче персональных данных»).
Страны, не подписавшие и не ратифицировавшие указанную выше Конвенцию, относятся к иностранным государствам, на территории которых не обеспечивается надлежащий уровень защиты прав субъектов персональных данных.
В связи с чем ЗАО «СЛИВКИ БАЙ» в соответствии с требованиями законодательства информирует о возможных рисках, связанных с необеспечением надлежащих способов защиты персональных данных от несанкционированного или случайного доступа к ним, изменения, блокирования, удаления, предоставления, распространения, совершения иных неправомерных действий в отношении предоставляемых персональных данных в странах, куда такие данные передаются.
При желании, пользователь может отказаться от использования cookie-файлов Google Analytics, Яндекс Метрика для отслеживания вашей активности на всех веб-сайтах, пройдя по следующий ссылкам: http://tools.google.com/dlpage/gaoptout, https://yandex.ru/support/metrica/general/opt-out.html.
Обрабатываемые на сайте куки и сроки их хранения:
– настройка куки (технические) хранятся не более года;
– функциональные куки, часть из которых хранятся во время пользования сайтом, а остальные не более суток;
– необходимые для функционирования веб-аналитической платформы (аналитические), часть из которых хранятся во время пользования сайтом, а остальные не более года;
– рекламные куки, часть из которых хранятся во время пользования сайтом, а остальные не более года;
Отключение и ограничение использования куки
Посетители сайта могут принять или отклонить все обрабатываемые на сайте куки, кроме необходимых.
Куки необходимы для полноценного использования сайта. При отключении cookie некоторые функции станут недоступны.
Отключение функциональных куки может привести к ограничению пользователя в доступе к определенным функциональным возможностям сайта.
Отключение аналитических куки не позволяет определять предпочтения посетителей сайта, в том числе наиболее и наименее популярные страницы и принимать меры по совершенствованию работы сайта исходя из предпочтений пользователей.
Отключение рекламных куки может привести к показу менее релевантной рекламы, не соответствующей вашим интересам.
Посетитель может отказаться от использования куки на сайте, отключив их в настройках браузера.
По окончании сроков хранения куки и повторном посещений сайта у посетителя сайта снова запрашивается согласие на обработку куки.
Вместе с тем посетители сайта вправе изменить свой выбор настроек куки (в том числе отозвать согласие) в любое время в интерфейсе сайта путем перехода по ссылке настоящей политики.
Помимо настроек куки на сайте посетители сайта могут принять или отклонить сбор всех или некоторых куки в настройках своего браузера.
При этом некоторые браузеры позволяют посещать интернет-сайты в режиме ”инкогнито“, чтобы ограничить хранимый на компьютере объем информации и автоматически удалять сессионные куки. Кроме того, субъект персональных данных может удалить ранее сохраненные куки выбрав соответствующую опцию в истории браузера.
Подробнее с параметрами управления куки можно ознакомиться, перейдя по внешним ссылкам, ведущим на соответствующие страницы сайтов основных браузеров:
– Chrome https://support.google.com/chrome/answer/95647?hl=ru
– Safari https://support.apple.com/ru-ru/guide/safari/sfri11471/mac
– Opera https://help.opera.com/ru/latest/web-preferences/
– Microsoft Edge https://support.microsoft.com/ru-ru/microsoft-edge/

Фотографии пользователей: